原理特點
酸洗污水流量計:酸洗污水流量計是根據流量傳感器的流量信號和配對溫度傳感器檢測的供回水溫度信號,以及水流經的時間計算并顯示該系統所釋放或吸收的熱量。
酸洗污水流量計
原理
FE30H酸洗污水流量計(冷能)測量原理基于法拉第電磁感應定律:導電液體在磁場中切割磁力線運動時,導體中產生感應電勢,
感應電勢為E:
E=KBVD
式中:K--------儀表常數
式中:B--------磁感應強度
式中:V--------測量管截面內的平均流速
式中:D--------測量管道截面的內徑
測量流量時,導電性液體以速度V流過垂直于流量方向的磁場,導電性液體的流動感應出一個與平均流速成正比的電壓,其感應電壓信號通過二個或二個以上與液體直接接觸的感應電極檢出,并通過電纜送至轉換器通過其智能化處理,實現流體瞬時流量、積累流量的顯示及流量數據與控制系統之間的通訊。測量管內無活動及阻流部件,因此幾乎沒有壓力損失,并且有很高的可靠性。
電磁熱量表把電磁流量計和配對溫度傳感器有機地結合在一起,利用電磁流量計測量流量,結合配對溫度傳感器(PT1000) ,能計算、累積、存儲和顯示熱交換回路中吸收或釋放的熱量。FE30H電磁熱量表的流量、能量計算單元CPU及采樣模塊均采用ARM單片機,其內存容量大,可靠性高,熱量計算能真正實現焓值計算,達到高準確度。
酸洗污水流量計
原理
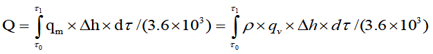
FE30H酸洗污水流量計是根據流量傳感器的流量信號和配對溫度傳感器檢測的供回水溫度信號,以及水流經的時間計算并顯示該系統所釋放或吸收的熱量。熱量以量計形式顯示,單位KWh,分辨力1KWh,最大顯示9位。
數學計算模型如下:
式中:
Q-系統釋放或吸收的熱量,單位為KWh;
qm-流經熱量表的水的質量流量,單位為kg/h;
qv-流經熱量表的水的體積流量,單位為m3/h
ρ-流經熱量表的水的密度,單位為kg/m3;
△h-在熱交換系統進口和出口溫度下水的焓值差。單位為kJ/kg;
τ-時間,單位為h.
FE30H酸洗污水流量計的優勢
電磁熱能計是一種測量體積流量的儀表,測量的結果與流速分布,流量壓力,溫度,密度,粘度等物理參數無關
測量管內無活動部件,便于維護管理,所以傳感器的使用壽命長;無阻流部件,無壓力損失
被測液體電導率*低可達5μS/cm,配合各種襯里材料,可適用于測量各種酸、堿介質的流量,精 zhun度較高,通常流量精度為±0.5%
高清晰度背光LCD顯示,漢英菜單操作,使用方便,操作簡單,易學易懂
轉換器性能可靠、精度高、功耗低、零點穩定、參數設定方便、LCD顯示,可以顯示累計流量、流速、流量百分比等參數
進水方向為雙向均可,安裝不受限制。 雙向測量系統,可測量正向流量,反向流量
全數字量的處理,抗干擾能力強,測量可靠,精度高,流量測量范圍可達150:1
超低EMI開關電源,使用電源電壓變化范圍大,抗EMC好
具有RS485數字通訊信號輸出
可匹配空調采暖循環系統普遍較差的水質進行應用
可顯示累計熱量、累計流量、瞬時流量、流速、供水溫度、回水溫度等參數。
隨水溫的變化修正,保證在不同水溫下計量準確
多級密碼設置功能,防止數據被惡意修改
技術參數 | |
公稱通徑(mm): | 管道式四氟襯里:DN15~DN800 |
管道式橡膠襯里:DN40~DN1200(特殊規格可定制) | |
溫差范圍: | 2~75°C |
測溫范圍: | 4~95°C |
溫度分辨率: | 0.01°C |
精 que度: | 0.1°C |
精度等級: | 1級、2級 |
被測介質溫度: | 高溫橡膠襯里:-20~+90℃ |
聚四氟乙稀襯里:-30~+100℃ | |
高溫型四氟襯里:-20~+180℃ | |
額定工作壓力: | DN15-DN80:≤2.5MPa |
DN80-DN150:≤1.6MPa | |
DN200-DN800:≤1.0MPa | |
顯示單位: | m³/H、m³/M、m³/S、L/H、L/M、L/S、G/H、G/M、G/S(H=Hour M=Minute S=Second) |
流速范圍: | 0.3-12m/s |
|
電導率范圍: | 被測流體電導率≥5μs/cm |
|
電流輸出: | 負載電阻 | 4~20mA:0~750KΩ |
供電電源: | AC 220V&DC 24V |
|
消耗總功率: | 小于20W |
|
連接方式: | 流量計與配管之間可采用法蘭、螺紋連接 |
|
環境濕度: | <90%r.h(非冷凝) |
|
防護等級: | IP65(特殊訂制IP68) |
|
環境溫度: | -25~+60℃(特殊工況下請咨詢工程師) |
|
要求直管段長度: | 上游≥5DN,下游≥3DN |
|
流動方向: | 正,反,凈流量 |
|
執行標準: | DIN EN 1092-1-2002 |
|
銷售使用地標準(訂貨備注) |
| |
LVD 2006/95/EC&EMC 2004/108/EC |
| |
EN 61326-1::2006輻射標準(BS EN50081-1) |
| |
EN 61326-1::2006抗干擾標準(BS EN50082-1) |
| |
EN 61010-1:2001設備安全要求:一般要求 |
|

地址:上海市閔行區梅蓮工業園滬光東路89號2棟1層 (201108)
電話:021-54430662
傳真:021-52271113
郵箱:info@kewill-auto.com.cn